📜 [原文1]
本节我们将描述一个与群相关联的图,它描绘了其子群之间的关系。这个图,被称为群的子群格[^1],是“可视化”一个群的好方法——它无疑比群表更能阐明一个群的结构。在整个群论章节中,我们将使用格图,或其部分,来描述特定的群和一般群的某些性质。此外,一个群的子群格在伽罗瓦理论中将扮演重要角色。
[^1]: “格”一词在偏序集的意义上具有精确的数学含义。
这段话是本节的总起,介绍了即将要学习的一个重要工具——子群格 (subgroup lattice)。
本段没有数学公式。
我们以最简单的非平凡循环群 $\mathbb{Z}_4$(整数模4加法群)为例来初步感受一下。
$\mathbb{Z}_4 = \{0, 1, 2, 3\}$。
它的子群有:
这个群总共有3个子群。它们之间的关系是:
$\{0\} \subseteq \{0, 2\} \subseteq \mathbb{Z}_4$。
我们可以画一个简单的图来表示这种包含关系:
$\mathbb{Z}_4$ (在最上面)
|
$\{0, 2\}$ (在中间)
|
$\{0\}$ (在最下面)
这个简单的链条状的图,就是 $\mathbb{Z}_4$ 的子群格的雏形。它清晰地显示了子群的数量和它们“一个套一个”的层级结构,这比列出 $\mathbb{Z}_4$ 的4x4群表要直观得多。
本段引入了子群格的概念,它是一种用于可视化群的子群结构及其包含关系的图。相比于复杂的群表,子群格能更直观地揭示群的内在结构,是群论中一个重要的分析工具,并且在更高级的伽罗瓦理论中也扮演着核心角色。
本段的目的是为了引入一种比群表更高级、更结构化的工具来研究群。在数学中,当我们面对一个复杂的对象时,一个常见的策略是研究它的“子结构”以及这些子结构之间的关系。子群格正是这一思想在群论中的具体体现,它将研究的焦点从繁琐的元素运算转移到了更有条理的子群层级上。
可以将子群格想象成一个公司的“组织架构图”。
想象你正在建造一个由不同大小的俄罗斯套娃组成的艺术品。
📜 [原文2]
给定有限群 $G$ 的子群格的构造如下:将 $G$ 的所有子群绘制出来,底部是 $1$,顶部是 $G$,大致上,阶较大的子群位于页面上方,阶较小的子群位于下方。如果 $A \leq B$ 且在 $A$ 和 $B$ 之间没有子群,则从 $A$ 到 $B$ 向上画线。因此,如果 $A \leq B$,则从 $A$ 到 $B$ 有一条路径(可能有多条路径)向上通过一系列中间子群(如果 $B \geq A$,则从 $B$ 到 $A$ 向下有路径)。子群在页面上的初始定位,在先验上有些随意,但通常(通过实践)可以选择以产生简单的图。
这段话详细描述了如何一步步画出一个有限群的子群格。
(由于 $A$ 和 $B$ 本身都是群,并且运算继承自 $G$,所以只要满足子集关系,$A$ 就是 $B$ 的子群)。
让我们以克莱因四元群 $V_4 = \{1, a, b, c\}$ 为例,其运算满足 $a^2=b^2=c^2=1$, $ab=c$, $bc=a$, $ca=b$。
画出来就是一个菱形(或者说像钻石的形状):
本段给出了绘制有限群 子群格的具体操作手册:首先找到所有子群,然后根据子群的阶分层放置,最后在满足极大子群关系的子群对之间连接线段。最终得到的图中,任意两子群的包含关系都可以通过图中的路径来体现。
本段的目的是将上一段提出的抽象概念“子群格”具体化、操作化。它提供了一套明确的算法,使得我们可以对任何一个给定的有限群(只要我们能找到它的所有子群),都能动手画出它的子群格。这为后续通过子群格来分析群结构提供了实践基础。
[直觉心-智模型]
这就像是绘制一份详细的地图。
想象你在玩一个乐高积木游戏。
📜 [原文3]
请注意,对于 $G$ 的任何一对子群 $H$ 和 $K$,包含它们两者的唯一最小子群(称为 $H$ 和 $K$ 的并),即 $\langle H, K\rangle$,可以从格中读取,方法如下:从 $H$ 和 $K$ 向上追踪路径,直到达到一个包含 $H$ 和 $K$ 的共同子群 $A$(注意 $G$ 本身总是包含所有子群,因此至少存在一个这样的 $A$)。为了确保 $A=\langle H, K\rangle$,请确保不存在 $A_{1} \leq A$(由从 $A$ 到 $A_{1}$ 的向下路径指示),且 $H$ 和 $K$ 都包含在 $A_{1}$ 中(否则用 $A_{1}$ 替换 $A$,并重复此过程以查看 $A_{1}=\langle H, K\rangle$)。通过对称的过程,可以读取 $G$ 中包含在 $H$ 和 $K$ 两者中的最大子群,即它们的交集(根据命题 8,这是一个子群)。
这段话解释了子群格画出来之后如何使用它,特别是如何利用它来找到两个子群的并 (join) 和交 (meet)。
我们再次使用 $V_4$ 的子群格。$V_4 = \{1, a, b, c\}$,其阶为2的子群为 $H = \langle a \rangle = \{1, a\}$ 和 $K = \langle b \rangle = \{1, b\}$。
本段阐述了子群格的一个核心功能:快速、直观地确定任意两个子群 $H$ 和 $K$ 的并 $\langle H, K \rangle$ (它们的最小公共上级/祖先) 和交 $H \cap K$ (它们的最大公共下级/后代)。这个特性使得子群格不仅仅是一个静态的展示图,更是一个动态的计算工具。
本段的目的是展示子群格的实用价值。仅仅画出子群的层级还不够,一个好的数学工具应该能帮助我们进行计算和推理。这里通过展示如何计算并与交,证明了子群格是一个强大的分析工具,它将集合运算(交)和生成运算(并)几何化了。这也回应了脚注中提到的“格”的严格数学含义,即任何两个元素都存在唯一的最小上界(并)和最大下界(交)。
继续使用“家族族谱”的比喻。
想象一个立体的管网系统。
📜 [原文4]
这个过程有一些局限性,特别是它本身不能用于无限群。即使是阶相对较小的有限群,格也可能相当复杂(参见 M. Hall 和 J. Senior 的书《阶为 $2^{n}, n \leq 6$ 的群》,Macmillan,1964 年,其中有一些令人头痛的例子)。在本节末尾,我们将描述即使对于无限群如何绘制和使用格的一部分。
请注意,同构群具有相同的格(即,相同的有向图)。非同构群也可能具有相同的格(这发生在两个阶为 16 的群中——参见下面的练习)。由于子群格只是我们群描述符数据的一部分,这不会是一个严重的缺点(事实上,它甚至可能有助于发现两个非同构群何时具有一些共同性质)。
这段话讨论了子群格的两个重要方面:它的局限性和它与群同构的关系。
本段没有数学公式。
本段指出了子群格的两个关键特性:它的适用性有限(不直接适用于无限群,对复杂有限群也可能过于庞大)以及它与群同构的不完全等价关系(同构必定同格,但同格未必同构)。这提醒我们,子群格是一个强大但并非万能的工具。
本段的目的是为了管理学习者的期望,防止对子群格这一工具产生不切实际的幻想。通过诚实地指出其局限性和“分辨能力”的上限,作者培养了读者批判性使用数学工具的思维。任何模型或工具都是对现实的简化,了解其简化了什么、忽略了什么,是有效使用它的前提。
[直觉心-智模型]
子群格就像一个人的X光片。
想象用子群格来给群“画像”。
📜 [原文5]
除了循环群(例子 1)之外,我们尚未证明以下格是正确的(例如,包含给定群的所有子群或具有正确的并和交集)。目前,我们将这些事实视为已知,并且随着我们在正文中建立更多理论,我们将把证明这些事实的任务作为练习。
(1) 对于 $G=Z_{n} \cong \mathbb{Z} / n \mathbb{Z}$,根据定理 7, $G$ 的子群格是 $n$ 的约数格(也就是说, $n$ 的约数写在页面上, $n$ 在底部,1 在顶部,如果 $b \mid a$ 则从 $a$ 到 $b$ 向上画线)。以下是 $n$ 的各种特定值的一些具体例子。

(2)
(4)
$\zeta(8)=\{0\}$

(注意: $\langle 1\rangle=\langle 3\rangle=\langle 5\rangle=\langle 7\rangle$ )
一般来说,如果 $p$ 是一个素数,则 $\mathbb{Z} / p^{n} \mathbb{Z}$ 的格是


这段内容开始给出具体的子群格例子,首先是循环群 $\mathbb{Z}_n$。
让我们以 $n=30$ 为例,手动构建 $\mathbb{Z}_{30}$ 的子群格。
本段的核心知识点是:循环群 $\mathbb{Z}_n$ 的子群格与 $n$ 的约数格在结构上是同构的,但对应关系是“反向”的:子群的包含关系 $\langle d_1 \rangle \leq \langle d_2 \rangle$ 对应于约数的整除关系 $d_2 \mid d_1$。这个结论极大地简化了对循环群结构的研究,将其转化为我们更熟悉的整数论问题。
本段的目的是提供一类最基础、最重要且结构最清晰的子群格范例。通过循环群这个我们已经比较了解的例子,来验证和巩固上一节学习的子群格的构造和解读方法。它作为一个标杆,为我们后续学习更复杂的非阿贝尔群的子群格提供了参照和对比。
想象你在一个圆形跑道上跑步,跑道周长为 $n$米。你从起点0出发。
想象一个用数字组成的“整除关系网”。
📜 [原文6]
(2) 克莱因四元群(Viergruppe), $V_{4}$,是一个阶为 4 的群,其乘法表为
| $\cdot$ | 1 | $a$ | $b$ | $c$ |
|---|---|---|---|---|
| 1 | 1 | $a$ | $b$ | $c$ |
| $a$ | $a$ | 1 | $c$ | $b$ |
| $b$ | $b$ | $c$ | 1 | $a$ |
| $c$ | $c$ | $b$ | $a$ | 1 |
以及格

注意 $V_{4}$ 是阿贝尔群,且与 $Z_{4}$ 不同构(为什么?)。我们将看到 $D_{8}$ 有一个与 $V_{4}$ 同构的子群,因此不需要检查上述定义的二元运算是否满足结合律。
这段内容介绍了第二个重要的例子:克莱因四元群 $V_4$。
我们来验证一下 $V_4$ 子群格的并与交。
令 $H = \langle a \rangle = \{1, a\}$,$K = \langle b \rangle = \{1, b\}$。
结果完全吻合。
本段介绍了克莱因四元群 $V_4$,一个重要的4阶阿贝尔群。通过其乘法表和子群格(一个菱形),展示了它与循环群 $\mathbb{Z}_4$(子群格为链形)的本质区别。$V_4$ 的特点是除单位元外所有元素的阶都为2。
本段的目的是引入第一个非循环群的例子,并展示其子群格。通过与 $\mathbb{Z}_4$ 的对比,它生动地说明了子群格在区分不同群结构上的威力。$V_4$ 是群论中反复出现的“标准件”之一,熟悉它的结构至关重要。
想象一个电灯开关系统。
想象你手里拿着一个长方形(非正方形)的床垫。
这些操作构成一个群,这个群就同构于 $V_4$。
这个群的子群就是:
子群格就描绘了这些“操作许可权”集合之间的关系。
📜 [原文7]
(3) $S_{3}$ 的格是

这段内容展示了6阶对称群 $S_3$ 的子群格。$S_3$ 是我们遇到的第一个非阿贝尔群。
我们来验证 $S_3$ 子群格的并与交。
本段展示了最小的非阿贝尔群 $S_3$ 的子群格。这个格的结构比之前的例子更不规则,反映了非阿贝尔群更复杂的内部构造。它包含一个3阶子群和三个2阶子群,它们与平凡子群和整个群一起,构成了一个两层的结构。
本段的目的是展示第一个非阿贝尔群的子群格,让我们开始体会阿贝尔群与非阿贝尔群在结构上的差异。$S_3$ 是有限群论中最重要的入门例子,其子群格是必须熟悉的基本图形。
回到等边三角形的对称操作模型 $D_3$。
想象一个有6个房间的建筑 $S_3$。
📜 [原文8]
(4) 使用我们通常的 $D_{8}=\langle r, s\rangle$ 记法, $D_{8}$ 的格是

这段内容展示了8阶二面体群 $D_8$ 的子群格。$D_8$ 是正方形的对称群。
我们来验证 $D_8$ 子群格的并与交。
本段展示了8阶二面体群 $D_8$ 的子群格。这是一个结构更丰富、更对称的非阿贝尔群的格。通过分析,我们发现 $D_8$ 内部共存着同构于 $\mathbb{Z}_4$ 和 $V_4$ 的子群,并且有一个特殊的2阶子群(即中心)作为多个子群的公共部分。
本段的目的是提供一个比 $S_3$ 更复杂、更有代表性的非阿贝尔群的例子。$D_8$ 是p-群(阶为素数的幂 $2^3$)中一个非常典型的非阿贝尔群。它的子群格展现了更多的结构可能性,例如不同构的同阶子群的存在,以及中心在格中的体现,这些都是深入研究群结构的重要课题。
回到正方形的对称操作。
想象你面前有一个镶嵌着钻石的皇冠 $D_8$。
📜 [原文9]
(5) $Q_{8}$ 的子群格是

这段内容展示了另一个重要的8阶非阿贝尔群——四元数群 $Q_8$ 的子群格。
我们来验证 $Q_8$ 子群格的并与交。
本段介绍了8阶四元数群 $Q_8$ 及其子群格。$Q_8$ 的子群格展现了与 $D_8$ 截然不同的结构,它只有一个2阶子群和三个同构于 $\mathbb{Z}_4$ 的4阶子群。通过比较 $D_8$ 和 $Q_8$ 的子群格,我们可以深刻理解到非阿贝尔群内部结构的多样性。
本段的目的是引入群论中另一个与 $D_8$ 地位相当的、基础且重要的8阶非阿贝尔群 $Q_8$。$Q_8$ 的许多独特性质(如只有一个2阶子群,所有真子群都循环,是哈密顿群等)使其成为检验理论和构造反例的宝贵材料。熟悉其子群格是掌握其结构的第一步。
想象一个特殊的3D坐标系,基向量是 $i, j, k$。
想象一个三叶草的形状。
📜 [原文10]
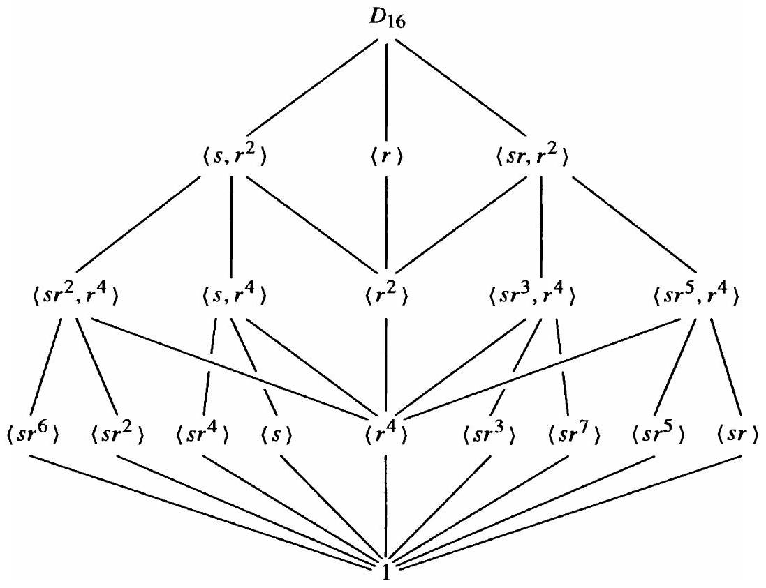
(6) $D_{16}$ 的格不是平面图(不能在平面上绘制而没有交叉线)。一种绘制方式是

这段内容简要介绍了16阶二面体群 $D_{16}$ 的子群格,并指出了它的一个重要特性。
由于格非常复杂,我们只看其中的一小部分关系。
本段以 $D_{16}$ 为例,展示了一个子群格可以变得非常复杂,甚至成为一个非平面图。这说明随着群的阶的增长,其子群结构可能迅速复杂化,完全绘制并分析整个格变得不切实际。
本段的目的是展示子群格复杂性的一个实例,为下一节引入“部分格”的概念做铺垫。它告诉我们,虽然子群格是一个强大的工具,但我们不能指望对所有群都能轻松地画出并使用完整的格。我们需要更灵活的策略来处理复杂的群。
想象一个城市的地铁线路图。
想象你在编织一张渔网。
📜 [原文11]
在许多理论证明和具体例子中,我们只对给定群的两个(或少量)子群及其相互关系感兴趣。为了图形化地描绘这些,我们将绘制整个群格的子格,其中包含相关的并和交集。在这种子格中,不间断的线通常并不意味着线的端点之间没有子群。当处理无限群时,也将使用这些群的部分格。例如,如果我们只希望讨论 $D_{16}$ 中子群 $\left\langle s r^{2}, r^{4}\right\rangle$ 和 $\left\langle r^{2}\right\rangle$ 之间的关系,我们将绘制子格

注意 $\left\langle s, r^{2}\right\rangle$ 和 $\left\langle r^{4}\right\rangle$ 分别是这两个子群在 $D_{16}$ 中的并和交集。
这段话针对前面提出的“子群格可能过于复杂”的问题,给出了解决方案:使用部分子群格 (partial lattice)。
让我们在整数群 $\mathbb{Z}$ (一个无限群) 中绘制一个部分格。
本段引入了部分子群格的概念,作为处理复杂有限群和无限群的实用技巧。部分格只关注我们感兴趣的少数几个子群及其并与交,通过牺牲“极大性”这一信息,换来了图形的简洁和问题的聚焦。
本段的目的是提供一个解决子群格复杂性问题的实用方法,增强该工具的灵活性和适用范围。它体现了数学中一种重要的思想:当整体过于复杂时,就专注于研究局部的、关键的结构。
继续使用地铁图的比喻。
想象你在看一张巨大的世界地图,上面密密麻麻标满了所有国家、城市和道路。
📜 [原文12]
最后,给定一个群的子群格,计算正规化子和中心化子相对容易。例如,在 $D_{8}$ 中,我们可以看到 $C_{D_{8}}(s)=\left\langle s, r^{2}\right\rangle$,因为我们首先计算出 $r^{2} \in C_{D_{8}}(s)$(参见第 2 节)。这证明了 $\left(s, r^{2}\right) \leq C_{D_{8}}(s)$(注意元素总是属于它自己的中心化子)。包含 $\left\langle s, r^{2}\right\rangle$ 的唯一子群是它自己和整个 $D_{8}$。我们不能有 $C_{D_{8}}(s)=D_{8}$,因为 $r$ 不与 $s$ 交换(即 $r \notin C_{D_{8}}(s)$)。这只剩下 $C_{D_{8}}(s)$ 的声称可能性。
这段话展示了子群格的又一个高级应用:帮助我们计算中心化子 (centralizer) 和正规化子 (normalizer)。
我们来用同样的方法计算 $N_{D_8}(\langle s \rangle)$ (在 $D_8$ 中子群 $\langle s \rangle$ 的正规化子)。
本段介绍了一种结合代数计算和子群格几何直观的强大技巧,用于确定中心化子和正规化子。其核心思想是“上下夹逼”:先通过计算确定一个子群作为下界,再利用格的路径和反例排除上方的其他可能,从而在很少的候选者中锁定目标。
本段的目的是展示子群格在实际计算中的一个高级应用,进一步凸显其作为群论分析工具的价值。它不仅能展示静态结构,还能辅助动态的计算过程,将复杂的代数推理转化为在格上“寻路”和“剪枝”的直观操作。
这就像是在玩一个“猜名人”的游戏。
想象你在一个复杂的迷宫(子群格)里寻找一个宝藏(中心化子)。
📜 [原文13]
(a) 包含在 $\left\langle s r^{2}, r^{4}\right\rangle$ 中的子群
(b) 包含在 $\left\langle s r^{7}, r^{4}\right\rangle$ 中的子群
(c) 包含 $\left\langle r^{4}\right\rangle$ 的子群
(d) 包含 $\langle s\rangle$ 的子群。
这里对练习题的目的和解题思路进行解释。
📜 [原文14]
(a) $\mathrm{D}_{8}$
(b) $Q_{8}$
(c) $S_{3}$
(d) $D_{16}$。
(a) $S_{3}$
(b) $Q_{8}$。
(a) $\mathbb{Z} / 16 \mathbb{Z}$
(b) $\mathbb{Z} / 24 \mathbb{Z}$
(c) $\mathbb{Z} / 48 \mathbb{Z}$。[参见第 3 节的练习 6。]
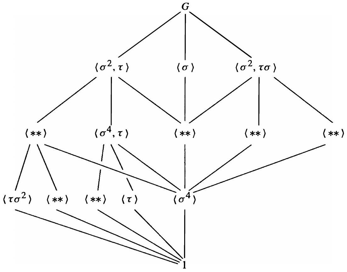
(称为阶为 16 的拟二面体群或半二面体群)。该群有三个阶为 8 的子群: $\left\langle\tau, \sigma^{2}\right\rangle \cong D_{8}, \langle\sigma\rangle \cong Z_{8}$ 和 $\left\langle\sigma^{2}, \sigma \tau\right\rangle \cong Q_{8}$,并且每个真子群都包含在这三个子群之一中。在下一页的拟二面体群所有子群格中填入缺失的子群,每个子群最多用两个生成元表示。(这是非平面格的另一个例子。)

a. 分别画出 $D_8, \mathbb{Z}_8, Q_8$ 的子群格。
b. 找到这三个子群之间的公共部分。例如,$\langle \sigma \rangle \cap \langle \tau, \sigma^2 \rangle = \langle \sigma^2 \rangle$ (一个4阶循环子群)。$\langle \sigma \rangle \cap \langle \sigma^2, \sigma\tau \rangle = \langle \sigma^2 \rangle$。$\langle \tau, \sigma^2 \rangle \cap \langle \sigma^2, \sigma\tau \rangle = \langle (\sigma^2)^2, (\sigma\tau)^2 \rangle = \langle \sigma^4, \sigma\tau\sigma\tau \rangle = \langle \sigma^4, \sigma\tau\tau\sigma^3 \rangle = \langle \sigma^4, \sigma^4 \rangle = \langle \sigma^4 \rangle$ (一个2阶子群)。
c. 在给出的不完整的格图上,识别出那三个8阶子群的位置。
d. 将 $D_8, \mathbb{Z}_8, Q_8$ 的格“嵌入”到图中相应的位置,并根据它们之间的交集,将相同的子群顶点合并起来。
e. 用生成元标记出所有顶点。这是一个细致的拼图工作。
📜 [原文15]
接下来的三个例子导致两个非同构群具有相同的子群格。
子群都包含在这三个子群之一中。绘制 $A$ 的所有子群格,每个子群最多用两个生成元表示。
(有时称为阶为 16 的模群)。它有三个阶为 8 的子群: $\left\langle u, v^{2}\right\rangle, \langle v\rangle$ 和 $\langle u v\rangle$,并且每个真子群都包含在这三个子群之一中。证明 $\left\langle u, v^{2}\right\rangle \cong Z_{2} \times Z_{4}, \langle v\rangle \cong Z_{8}$ 和 $\langle u v\rangle \cong Z_{8}$。证明 $M$ 的子群格与 $Z_{2} \times Z_{8}$ 的子群格相同(参见练习 13),但这两个群不同构。
(a) $N_{Q D_{16}}(\langle\tau \sigma\rangle)$
(b) $N_{Q D_{16}}\left(\left\langle\tau, \sigma^{4}\right\rangle\right)$。
1.
解释:这是16阶拟二面体群(或半二面体群)$QD_{16}$ 的生成元表示,定义了生成元 $\sigma$ 和 $\tau$ 的阶以及它们之间的运算关系。
2.
解释:这是16阶模群 $M$ 的生成元表示,定义了生成元 $u$ 和 $v$ 的阶以及它们之间的运算关系。
📜 [原文16]
[^1]: “格”一词在偏序集的意义上具有精确的数学含义。
这个脚注是对正文中首次出现的“子群格 (subgroup lattice)”一词里的“格 (lattice)”所做的补充说明。它提醒读者,“格”在这里不是一个随意的、描述性的词语(比如像“网络”或“图表”),而是一个有严格定义的数学概念。
本段没有数学公式,但涉及符号概念:
考虑 $\mathbb{Z}_{12}$ 的子群 $H = \langle 4 \rangle = \{0, 4, 8\}$ 和 $K = \langle 6 \rangle = \{0, 6\}$。
因为任意两个子群都能找到唯一的并与交,所以 $\mathbb{Z}_{12}$ 的子群集合构成一个格。
该脚注是为了强调子群格的命名是严谨的,它继承自格论这一数学分支。一个群的所有子群在“子群关系”这一偏序下,由于任意两个子群都存在唯一的并(最小上界)和交(最大下界),因此严格地构成了一个格。
本脚注的目的是连接群论中的具体构造(子群图)与更抽象的代数结构理论(格论),体现了数学知识的内在统一性。它为有相关背景的读者提供了更深层次的理解,也为初学者指明了未来可能深入学习的方向。
将偏序集想象成一个复杂的族谱,关系是“是...的后代”。
想象一个分水岭系统。
📜 [原文17]
[^0]: ${ }^{1}$ 请注意,证明 $G_{s}$ 是子群的步骤与证明 $C_{G}(A) \leq G$ 的步骤相同,其中作用的公理 (1) 取代了结合律。
这个脚注虽然在正文的编号 [^1] 之前,且没有在第2.5节的正文中被引用,但它提供了一个深刻的类比,揭示了不同代数概念背后证明结构的相似性。它很可能与本书前面章节(例如关于群作用的章节)有关。
| 步骤 | 证明 $C_G(A)$ 是子群 | 证明 $G_s$ 是子群 | 依赖的性质对比 |
|---|---|---|---|
| 1. 单位元 | 单位元 $e$ 在 $C_G(A)$ 中,因为 $ea=ae=a$ 对所有 $a$ 成立。 | 单位元 $e$ 在 $G_s$ 中,因为根据群作用的定义,有 $e \cdot s = s$。 | 都是定义自带。 |
| 2. 封闭性 | 若 $g,h \in C_G(A)$,则 $(gh)a = g(ha) = g(ah) = (ga)h = (ag)h = a(gh)$。所以 $gh \in C_G(A)$。 | 若 $g,h \in G_s$,则 $(gh) \cdot s = g \cdot (h \cdot s) = g \cdot s = s$。所以 $gh \in G_s$。 | 关键步骤 $g(ha)=(ga)h$ 依赖于群的结合律。而 $g \cdot (h \cdot s) = (gh) \cdot s$ 依赖于群作用的公理(1)。 |
| 3. 逆元 | 若 $g \in C_G(A)$,则 $ga=ag$。两边同乘 $g^{-1}$ 得 $g^{-1}a=ag^{-1}$。所以 $g^{-1} \in C_G(A)$。 | 若 $g \in G_s$,则 $g \cdot s = s$。用 $g^{-1}$ 作用于两边得 $g^{-1} \cdot (g \cdot s) = g^{-1} \cdot s$。由公理(1)和(2),$(g^{-1}g) \cdot s = e \cdot s = s = g^{-1} \cdot s$。所以 $g^{-1} \in G_s$。 | 证明逻辑相似。 |
该脚注是一个教学法的旁注,它通过类比“证明稳定子群是子群”和“证明中心化子是子群”这两个过程,强调了抽象代数中证明模式的普适性。它指出,二者唯一的结构性差异在于,前者依赖群作用公理,而后者依赖群的结合律。
本脚注的目的是为了加深学生对代数证明内在逻辑的理解,展示了如何将一个熟悉的证明模板(如中心化子的证明)迁移到一个新的、更抽象的概念上(如稳定子群)。这有助于培养学生“看到”不同数学对象之间结构性联系的能力。
这就像是学习两种不同的棋类游戏,比如国际象棋和中国象棋。
想象你在组装两件不同的宜家家具,一个书架和一个柜子。
1.
解释:这是16阶拟二面体群(或半二面体群)$QD_{16}$ 的生成元表示,定义了生成元 $\sigma$ 和 $\tau$ 的阶以及它们之间的运算关系。
2.
解释:这是16阶模群 $M$ 的生成元表示,定义了生成元 $u$ 和 $v$ 的阶以及它们之间的运算关系。